emu_rock

This report is generated for performance of Wheat model in APSIM NG for cultivar emu_rock.

Cultivar Information

The cultivar specific parameters used in the simulation are listed in the table below:

Table 1: Cultivar specific parameters for emu_rock
parameter value
[Phenology].Phyllochron.BasePhyllochron.FixedValue 94.7698873180009
[Phenology].PhyllochronPpSensitivity.FixedValue 0.358007951256312
[Phenology].CAMP.FLNparams.MinLN 6
[Phenology].CAMP.FLNparams.PpLN 1
[Phenology].CAMP.FLNparams.VrnLN 1
[Phenology].CAMP.FLNparams.VxPLN -1
[Phenology].CAMP.EnvData.VrnTreatTemp 5.8
[Phenology].CAMP.EnvData.VrnTreatDuration 60
[Phenology].HeadEmergenceLongDayBase.FixedValue 183.0
[Phenology].HeadEmergencePpSensitivity.FixedValue 1.7962741039794823

The following aliases are also available for this cultivar: Emu_Rock

Experiments

There are 10 experiments which tested cultivar emu_rock in the validation test dataset of APSIM NG. Following the link below to see the details of each experiment, including the observed and predicted values for different traits, and the performance metrics.

Table 2

This map below shows the locations of experiments without controlled environments. Following the link on the marker will take you to the details of each experiment, including the observed and predicted values for different traits, and the performance metrics.

Figure 1: Locations of experiments without controlled environments.

Performance

Overview

The table below summarizes the performance of APSIM NG for cultivar emu_rock across all experiments.

Table 3: Performance summary for cultivar emu_rock across all experiments
trait n r r2 bias mse rmse nrmse d
Phenology.EmergenceDAS 67 1.00 1.00 -0.01 0.02 0.13 0.01 1.00
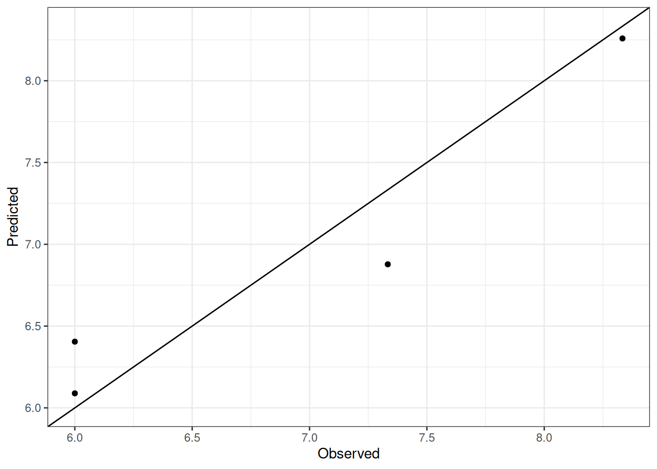
Phenology.FinalLeafNumber 4 0.96 0.91 0.01 0.10 0.31 0.04 0.97
Phenology.FlagLeafDAS 4 1.00 0.99 -1.82 14.46 3.80 0.06 0.99
Phenology.FloweringDAS 4 0.95 0.91 -14.07 253.42 15.92 0.22 0.90
Phenology.HaunStage 37 0.99 0.98 -0.28 0.17 0.41 0.10 0.99
Phenology.HeadingDAS 66 0.91 0.82 -2.71 178.68 13.37 0.13 0.91

Comparison of observed and predicted values

The model performance is compared with observed and predicted values for cultivar emu_rock across all experiments. The plots below show the observed vs predicted values for different traits. Each point represents an observation from an experiment. The closer the points are to the diagonal line, the better the performance of the model for that trait.

The range of observed and predicted values are estimated using data in this page, which may be misleading for the narrow ranges of observed and predicted values.

Using the Expand All and Collapse All buttons below, you can expand or collapse the sections for each trait to see the observed vs predicted plots for different traits.

Observed vs Predicted plots for different traits.

Observed vs Predicted plots for different traits.

Observed vs Predicted plots for different traits.

Observed vs Predicted plots for different traits.

Observed vs Predicted plots for different traits.

Observed vs Predicted plots for different traits.